Skip to content Skip to sidebar Skip to footer

How To Find Slope Intercept Form Given Two Points - How to find the slope and intercept, the equation of a line, given just two points using statcrunch.

How To Find Slope Intercept Form Given Two Points - How to find the slope and intercept, the equation of a line, given just two points using statcrunch.. What is the formula for slope? After finding m using the slope equation substitute one set of point values for y and x. Shows how to get the slope intercept equation of a line if given two points that are on the line. The equation of a line in the slope intercept form is. This leaves b as the only unknown.

What is slope intercept form? Once you know the slope, plug it in for m in y = mx + b. What is the formula for slope? How to find the slope and intercept, the equation of a line, given just two points using statcrunch. Shows how to get the slope intercept equation of a line if given two points that are on the line.

Ex 2 Find The Equation Of A Line In Slope Intercept Form Given Two Points Youtube
Ex 2 Find The Equation Of A Line In Slope Intercept Form Given Two Points Youtube from i.ytimg.com
This leaves b as the only unknown. After finding m using the slope equation substitute one set of point values for y and x. Use the formula to find the slope between the two points. How do you calculate slope intercept form? Plug the given values into the formula for a slope: How do you convert slope intercept to standard? Shows how to get the slope intercept equation of a line if given two points that are on the line. If you must submit fractions, try this calculator at wol.

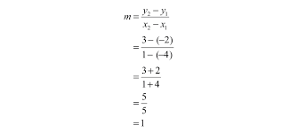
Plug the given values into the formula for a slope:

This gives you y = 3x + b. How do you convert slope intercept to standard? The equation of a line in the slope intercept form is. How to find the slope and intercept, the equation of a line, given just two points using statcrunch. What is slope intercept form? 👉 learn how to write the equation of a line given two points on the line. Y = mx + b. It's a good idea to check that both points make the equation true. Use the formula to find the slope between the two points. After finding m using the slope equation substitute one set of point values for y and x. May 29, 2018 · slope = y1 − y2 x1 − x2 = m. Once you know the slope, plug it in for m in y = mx + b. Plug the given values into the formula for a slope:

How to find the slope and intercept, the equation of a line, given just two points using statcrunch. After finding m using the slope equation substitute one set of point values for y and x. It's a good idea to check that both points make the equation true. What is slope intercept form? How do you convert slope intercept to standard?

Chapter 5 Write The Equation Of A Line Given Two Points Ppt Download
Chapter 5 Write The Equation Of A Line Given Two Points Ppt Download from images.slideplayer.com
What is the formula for slope? What is slope intercept form? By putting the x and y values for the two points into the slope equation the value for m can be found. Shows how to get the slope intercept equation of a line if given two points that are on the line. After finding m using the slope equation substitute one set of point values for y and x. Y = mx + b. How to find the slope and intercept, the equation of a line, given just two points using statcrunch. Shows how to get the slope intercept equation of a line if given two points that are on the line.

After finding m using the slope equation substitute one set of point values for y and x.

This leaves b as the only unknown. Plug the given values into the formula for a slope: Y = mx + b. By putting the x and y values for the two points into the slope equation the value for m can be found. Shows how to get the slope intercept equation of a line if given two points that are on the line. What is the formula for slope? May 29, 2018 · slope = y1 − y2 x1 − x2 = m. It's a good idea to check that both points make the equation true. After finding m using the slope equation substitute one set of point values for y and x. Shows how to get the slope intercept equation of a line if given two points that are on the line. This gives you y = 3x + b. Once you know the slope, plug it in for m in y = mx + b. How do you convert slope intercept to standard?

Shows how to get the slope intercept equation of a line if given two points that are on the line. How do you convert slope intercept to standard? Y = mx + b. Use the formula to find the slope between the two points. What is slope intercept form?

Program To Find Slope Of A Line Geeksforgeeks
Program To Find Slope Of A Line Geeksforgeeks from media.geeksforgeeks.org
How do you convert slope intercept to standard? 👉 learn how to write the equation of a line given two points on the line. May 29, 2018 · slope = y1 − y2 x1 − x2 = m. What is the formula for slope? The equation of a line in the slope intercept form is. It's a good idea to check that both points make the equation true. If you must submit fractions, try this calculator at wol. How do you calculate slope intercept form?

Y = mx + b.

The equation of a line in the slope intercept form is. It's a good idea to check that both points make the equation true. Plug the given values into the formula for a slope: Y = mx + b. This leaves b as the only unknown. How do you convert slope intercept to standard? How to find the slope and intercept, the equation of a line, given just two points using statcrunch. 👉 learn how to write the equation of a line given two points on the line. If you must submit fractions, try this calculator at wol. Shows how to get the slope intercept equation of a line if given two points that are on the line. After finding m using the slope equation substitute one set of point values for y and x. Use the formula to find the slope between the two points. How do you calculate slope intercept form?

May 29, 2018 · slope = y1 − y2 x1 − x2 = m how to find slope intercept form. How do you convert slope intercept to standard?